Mathematical Diversion -1

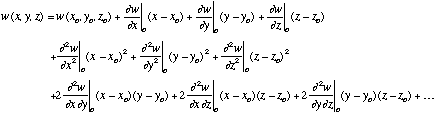
Consider the following. The 3-dimensional, Cartesian coordinate wind components (u, v, w ) can be expanded in a Taylor's Series according to:

If only the linear (first order) components of the flow are considered, this reduces considerably to:

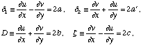
Finally, consider only the horizontal part, so that the foregoing simplifies still further:

By defining the following quantities,

then it can be seen that the linear part of the horizontal wind field (the Taylor Series out to first order) can be expressed as:

Some obvious notational shortcuts have been made in the preceding. The kinematic (linear) properties of a flow field are

I'll return to this simplified, horizontal view of things from time to time. In the purely horizontal view of things, the important part of the vorticity is the vertical component, as I will show now.

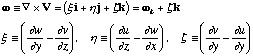
The three-dimensional vorticity (a vector), w, is given by

where wh is the horizontal component of w and k is the vertically-pointing unit vector. If we make the hydrostatic assumption (typically, a pretty good assumption, except in strong thunderstorms and tornadoes), then scale analysis shows that the x- and y- (horizontal) variation of the vertical component of the wind is much smaller than the horizontal variations of u and v, and also the vertical variation of the horizontal components (by about 2 orders of magnitude). If, therefore, we neglect the x- and y-derivatives of w, then to a very good approximation,

,

and using this assumption, some vector identities can be used to show that